美标注册又爆大雷!8月底,深圳某公司冒用去世律师签名被查,2200+商标面临被作废危险。不到半个月的时间,美国商标局再次重拳出击,剑指深圳某知名商标公司。

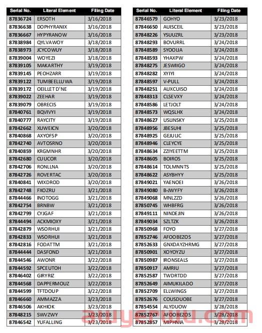
商标局下发的调查文件长达646页,可见本次调查非常详细,不仅公开了涉及的一万多个商标,还有被调查公司的公司官网介绍,页面详情,工商登记信以及涉及的律师供述等。

文件内容比较多,积特整理发现,该公司主要存在的问题有以下3点:1.代律师签名,提供虚假的律师信息和虚假签名,律师未对递交文件进行审查;2.滥用USPTO账户提供虚假和/或欺诈信息,故意隐瞒其未经授权的法律行为;3.至少有3名律师跟该公司签署了这样的协议,允许该公司违规使用他们的名字,以律师名义提交商标,并处理商标局下发的各种文件。
目前,该公司被要求在9月21号之前回复质疑,USPTO会根据回复来决定是否采取制裁以及采取哪种制裁;若一旦证实,对于违规的机构来说的后果很严重,将要面临以下制裁:
(1)永久禁止被投诉人提交商标相关文件;
(2)对被投诉人提交的所有商标相关文件予以删除或以其他方式不予重视;(积特提醒:若采取这个制裁,意味着所有的商标即将失效,受苦的是商标申请人)
(3)从美国专利商标局的所有申请和/或注册的数据库中删除与被申请人相关的通信信息;(4)指示 USPTO 首席信息官办公室永久停用任何出现与被投诉人相关的联系信息的 USPTO 账户,并采取一切合理措施防止被投诉人创建或激活更多账户;(5)阻止未来用于支付与不当提交和/或与被投诉人相关的申请费的信用卡进行的金融交易;(6)终止所有正在进行的包含答辩人提交意见的诉讼程序;(7)继续删除文件、删除信息、停用账户、阻止金融交易,并终止涉及被投诉人的程序或包含后来发现被投诉人提交的意见书;(8)考虑不重视注册后维护提交。

本次涉及的品牌名单主要申请的时间段是2017年-2020年之间,其中还有2010年,2015年和2016年的商标。卖家需抓紧自查,看看自己的商标是否在其中,以便早做应对。




这个事件刚爆出不久,就陆续有卖家跟积特反馈自己的商标在上述名单中。有卖家注册的23个商标全部中招,除了诉苦外,更多是想了解商标爆雷后该如何应对。



根据以往商标爆雷的情况来看,若商标被强制作废,亚马逊也会同步撤销品牌备案,且相应的品牌极有可能会被标记,想要重新备案会出现滥用提示,相当棘手。
所以,相比于事后寻求补救措施,积特更建议大家未雨绸缪,做好防范。随着美国商标申请量屡创新高,USPTO正积极采取各种措施加强对代理机构的监查,未来爆雷的可能性将会大大增加。
那该如何避免踩雷?积特给大家的建议是:在申请商标时一定要选择合规的代理机构,切勿贪小便宜,盲目追求低价。要知道美标注册时间大约需要10-12个月,时间跨度相对较长,若选择的代理机构不靠谱,很容易会所托非人,钱标两失。
- 喜欢(0)
- 不喜欢(0)


海华船务
石南跨境工具导航
飞狮航空
夏威夷航空货运追踪
多洛米蒂航空货运追踪
巴拿马航空货运追踪
菲律宾航空货运追踪
波兰航空货运追踪
阿拉伯航空货运追踪
美国西南航空货运追踪

